资讯分类
全部资讯
最新活动
商城公告
行业信息
新品推荐
元器件知识
资讯标签
艾迈斯欧司朗(126) 艾为awinic(118) 英伟达NVIDIA(80) iCEasy商城(76) 萤火工场(61) 飞腾派V3(40) 兆易创新(31) 罗彻斯特电子(28) Jetson Orin Nano SUPER 开发套件(21) 资料下载专区(18) 赛昉科技(14) 小华半导体(13) 赛昉科技(StarFive)(13) 芯佰微(12) Seeed矽递科技(11) 灵动微电子(11) 日清纺微电子(9) 飞腾派(8) 上海雷卯Leiditech(8) 微源半导体 LPSemi(8) NVIDIA(8) 物奇WuQi(7) 龙芯中科(7) GD32VW553-IOT(7) 航顺芯片(5) 日清纺微电子Nisshinbo(5) 庆科(5) TROQ创捷电子(4) 创捷电子(4) 开源口碑分享(4) Geehy极海半导体(4) CEM5826-M11(4) 飞腾派eMMC(3) FTHR-G0001(3) GD32VW553-IOT-V2(3) 罗彻斯特(3) MM32SPIN060G(3) 中国星坤(3) 峰岹科技(3) 杭晶(HCI)(3) 极海(2) 社区评奖活动(2) 芯佰微电子(2) NVIDIA品牌专区(2) 飞腾官网飞腾派(2) 技术问答专区(2) Mini-SPIN0230(2) 飞腾派下载专区(2) 口碑评测(2) 教育优惠申请链接(2) 华润微电子(2) EVB-L0130(2) BeagleBoard.org®(2) iCEsay商城(2) 英伟达初创加速计划(2) 启明云端(2) 弈安云(2) 英迪芯微(2) 村田(2) 野火(2) 小华EVB-HC32F4A0开发板(2) 极海半导体(2) 国产开源硬件(2) 台容积电(1) 内存(1) VF202040-A0(1) CEM5825F(1) COMBO模组 EMC3020-PZI5(1) 松科智能(1) 乐动机器人(1) 英伟达 NVIDIA(1) 格力新元(1) 周年抽奖活动(1) 庆科信息(MXCHIP)品牌专区(1) 附件(1) B站风扇视频(1) Jetson AGX Xavier(32GB)(1) 润石(1) NVIDIA DGX™ Spark:桌面级AI超级计算机(1) 飞腾派PRO(1) 微源半导体(1) QCS6490 SOM EVB开发板(1) 附件下载地址(1) 国产自主可控(1) Mini-F5333(1) JETSON_AGX_ORIN_64GB_DEVELOPER_KIT(1) QCS8550 SOM EVB开发板(1) 申请样片:高光效红光OSCONIQ® P 3030, GR QSSPA1.23(1) 华大北斗(1) 开源社区(1) NVIDIA Jetson Orin Nano 开发套件(1) 萤火工场品牌专区(1) 商城下载专区(1) 瑞隆源产品(1) 雷克沙(1) CEM5881-M11(1) Jetson AGX Orin 64GB开发套件(1) 荣湃半导体(2Pai Semi)品牌专区(1) 下载专区(1) 飞腾派专链(1) 世野(Khadas)(1) 中科云(1) Arduino UNO Rev 4 Minima开发板(1) NVIDIA NIM(1) 微雪电子(1) 海芯微(1) NVIDIA Jetson Orin Nano 开发套件(1) Arduino品牌专区(1) 飞腾派调研问卷链接(1) 小脚丫(1) CEM5861G-M11(1) 赛昉科技9折活动券(1) Jetson AGX Orin 64GB开发套件(1) 24GHz毫米波雷达模块(1) 品牌清仓(1) QCS8550 SOM EVB(1) 天微电子商家页(1) 国产毫米波雷达模块(1) 样片申请(1) 海凌科电子(Hi-Link)(1) NVIDIA Jetson Nano 模组(1) QCS6490 SOM EVB(1) EV Board (MM32L0136C7P)(1) 迈巨微电子品牌专区(1) 龙芯教育派(1) 轮趣科技(1) CEK8902-S905D3(1) 雷卯(1) 飞腾派试用申请链接(1) BeagleBone Black快速入门指南(1) 野火RK3566开发板(1) Jetson AGX Thor 开发套件/模组(1) 618大促(1) 竞买活动(1) 极海半导体(Geehy)(1) Arduino品牌页(1) GD32无线生态专区(1) 一件免邮专区(1) TagoreTech(1) SFH 7018B(1) 一件包邮专区(1) 英伟达 NVIDIA品牌专区(1) GD32VW553-IOT V2版本(1) 618大促专区(1) 欧达可(1) 飞腾派V3版本上新(1) 飞虹半导体(1) 迈巨微(1) GD32VW553-IOT V2(1) 微碧半导体(1) 8月7日竞拍竞买(1) 教育优惠(1) 萤火工场GD32VW553-IOT(1)

小华半导体 | 一种高性价比的电表高精度RTC方案

发布时间:2025-06-09

高精度RTC需求来源


在电子电力行业中的一些应用如智能电表对计时精度有严格的要求,需要时钟误差PPM在个位数以内甚至更低。然而,直接依靠晶振产生的时钟往往不能满足技术规范要求。例如,常见的32.768KHz圆柱晶振,其温度特性曲线是以理想室温25℃为中心线的向下抛物线,温度变低或变高都会使频率稳定度变差,全温范围的时钟误差可达60PPM以上。

图表 1:晶振随温度变化的频差


为了实现符合规范要求的高精度RTC,业界常用两种方案。其一是使用带有温补功能的8025T RTC时钟芯片。此类芯片集成了晶振和温度补偿算法等功能。其内部功能框图如下,此类芯片集成了晶振和温度补偿算法等功能,其内部功能框图如下,该类芯片采用硬件补偿的方式,综合成本较高。

图表 2:具有温补功能的RTC芯片功能框图


另一种方案是将关键的温度补偿算法以及可调校的RTC集成在主控MCU中,外部电路只需增加温度传感器和晶振,即可实现和时钟芯片一样的带有温补功能的高精度RTC。这种方案总体成本低,但是需要MCU提供适配硬件的温度补偿算法。


小华高精度RTC方案


小华半导体通过和深圳锐能微深度合作,将RTC温度补偿算法核心技术应用在HC32F4系列产品上,实现了可以达到电表规范要求的高精度RTC,其方案结构图如下。

图表 3:小华高精度RTC方案


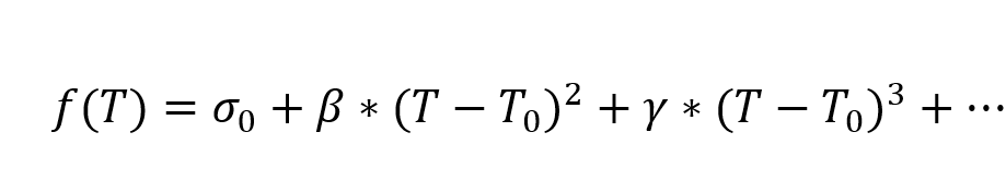
晶振的误差主要包含两种:一种是常温公差,另一种是温漂误差。这些误差可由公式拟合计算,通过计算出多项式的各项系数之和,就可以得到晶振在任意温度下的频率误差。

图表 4:频率误差计算公式


本方案将实验得到的不同温度误差数据代入公式,计算出多项式的各项系数,然后得到晶振频率的实际误差数据。有了晶振误差的数据,就可以通过MCU的内置RTC补偿功能进行校准。通过配置补偿寄存器的值,将晶振输入有误差的时钟信号校准成消除误差的高精度时钟信号,然后提供给RTC的功能单元,用于产生精确的时间数据。


小华方案验证板


针对客户的评估需求,小华提供专用的验证板以及包含DEMO程序的开发包。

图表 5:验证版的PCB图


DEMO程序中的算法软件库包括晶振校准、补偿值计算、补偿值写入等主要程序功能。这些程序可以实现市电供电与低功耗供电情况下的温度补偿,程序功能介绍如下:

晶振校准程序。此程序根据不同温度标定点数据计算晶振多项式的系数,只需要执行一次。用户可将计算结果保存在存储器中,后续直接读取使用,流程如下图:

图表 6:晶振校准流程


晶振补偿程序。此程序实现温度采集及补偿值计算,使用当前温度值计算晶振的误差,然后根据误差值计算出需要写入MCU补偿寄存器的值,可每秒钟执行一次,流程如下图。

图表 7:晶振补偿计算流程


补偿值写入程序。此程序在RTC的秒中断函数中运行,将计算出的MCU补偿值写入到RTC校准寄存器中,流程如下图。

图表 8:补偿值写入流程


温度补偿算法可以对累计一段时间内的误差进行多级补偿,累计时间越久,可消除的误差越多,平均后的补偿精度就越高。本方案中,程序每10秒补偿精度约为0.3PPM,每60秒补偿精度约为0.06PPM,实际测试数据统计如下图。

图表 9:几个温度点的温补后精度


验证板功耗数据。MCU在1MHz工作主频下,工作电流小于600uA。MCU在8MHz工作主频下,工作电流小于1000uA。MCU在睡眠模式下,工作电流约为11uA。打开补偿算法功能,其唤醒后运行时间小于50ms,整个周期平均工作电流小于600uA。



想要了解及购买小华半导体产品,请前往iCEasy商城品牌专区:

https://s.iceasy.com/IQ0sfy

iCEasy商城欢迎您的到来!